Убежища в основном расположены на территории предприятий и организаций, имеющих учетную категорию по гражданской обороне и (или) мобилизационное задание. Эти убежища предназначены для защиты сотрудников, которые продолжат работать в особое время и рассчитаны на максимальную по численности смену работников.
Для укрытия населения используются заглубленные помещения и другие сооружения подземного пространства. При получении сигналов гражданской обороны(сирены, гудки, другие звуковые сигналь) жителям необходимо укрыться в ближайшем укрытии - любом заглубленном помещении подземного пространства. Это подвалы в многоквартирных домах и различных зданиях, подземные паркинги, подвалы и подполья в частных домах.
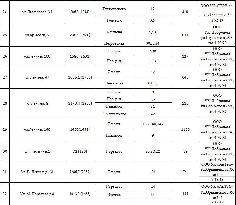
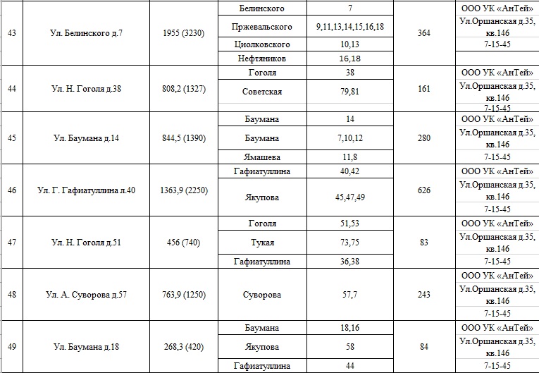
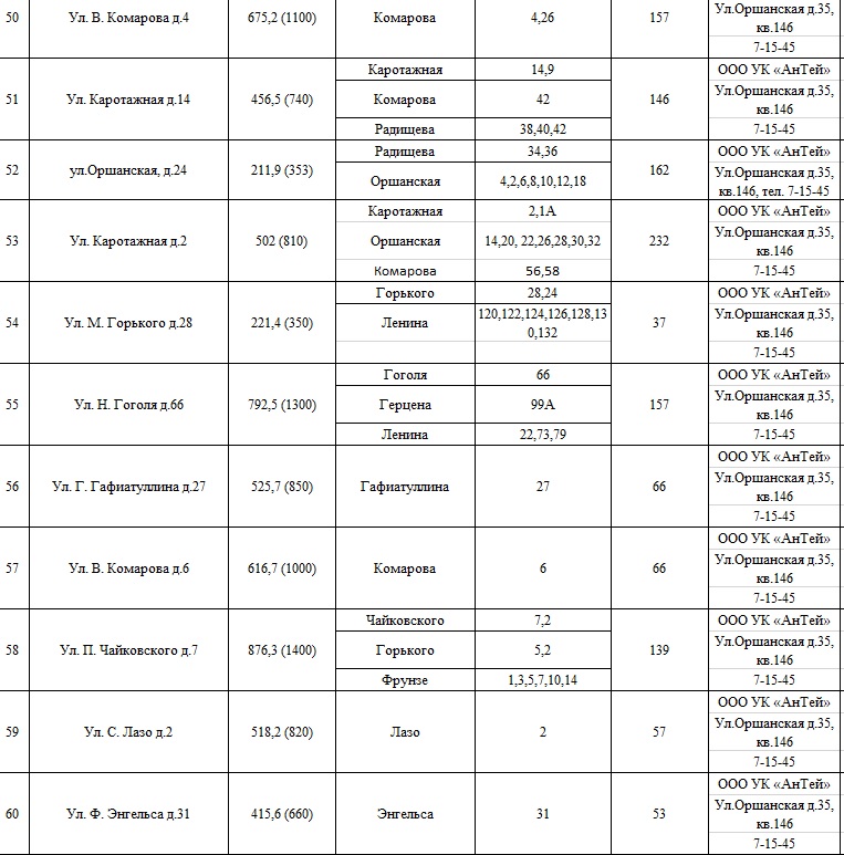
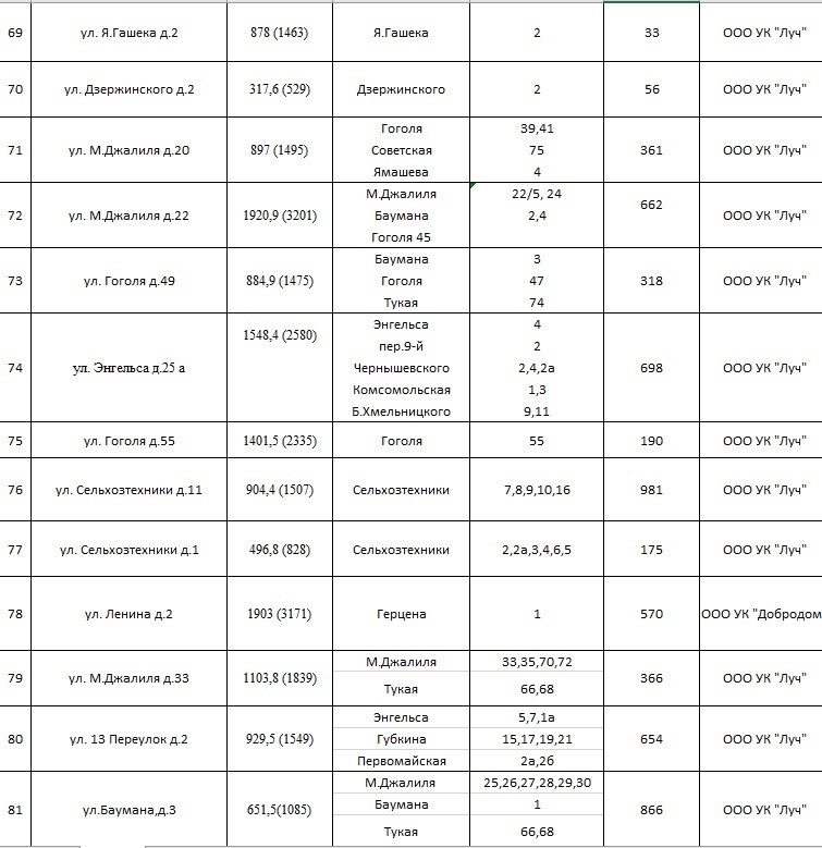
В Бугульме отобрано 105 подвалов жилых многоквартирных домов, которые возможно использовать для укрытия населения. Они будут обозначены специальными табличками «Укрытие». Есть дома, в которых отсутствует возможность укрытия. На них размесят табличку с указанием адреса ближайшего убежища. Вся информация в управляющих компаниях, ТСЖ и в Единой дежурно-диспетчерской службе.
Один ключ от двери в подвал находится у старшего по дому, второй – в управляющей компании. В случае объявления тревоги управляющие компании обязаны эти укрытия открыть для эвакуации населения.











